La ecuación del calor es una importante ecuación diferencial en derivadas parciales del tipo parabólica que describe la distribución del calor (o variaciones de la temperatura) en una región a lo largo del transcurso del tiempo.
Definición
Para el caso de una función de tres variables y de la variable temporal , el enunciado clásico es[1] para el caso en que no existe una fuente de energía
donde es la difusividad térmica, que es una propiedad del material.
En forma general, para utilizar en cualquier sistema de coordenadas, la ecuación es:
donde es una constante positiva, y es el operador de Laplace. En el problema físico de variación de temperatura, es la temperatura y es la difusividad térmica. En tratados matemáticos es común considerar el caso en que .
Considerando la ecuación de estado, de la primera ley de la termodinámica (es decir, la conservación de la energía), se escribe de la siguiente forma (asumiendo que no hay transferencia de masa, o fuentes de radiación, pero si una fuente de energía ). Esta forma es más general y particularmente útil para analizar cómo las diversas propiedades ( o ) influyen sobre cada término.
La ecuación del calor es de una importancia fundamental en numerosos y diversos campos de la ciencia. En el ámbito de las matemáticas, son las ecuaciones parabólicas en derivadas parciales por antonomasia. En el campo de la estadística, la ecuación del calor está vinculada con el estudio del movimiento browniano a través de la ecuación de Fokker–Planck. La ecuación de difusión, es una versión más general de la ecuación del calor, y se relaciona principalmente con el estudio de procesos de difusión química.
El problema físico y la ecuación
Caso unidimensional
La ecuación de calor se obtiene a partir de la ley de Fourier y del principio de conservación de la energía.[2] Según la ley de Fourier, la razón de cambio del flujo de energía calórica por unidad de área a través de una superficie es proporcional al gradiente de temperatura negativo en la superficie,
donde es la conductividad térmica y es la temperatura. En una dimensión, el gradiente es una derivada espacial ordinaria, y así la ley de Fourier es,
En ausencia de trabajo realizado, un cambio en la energía interna por unidad de volumen en el material, , es proporcional al cambio de la temperatura, (en esta sección, es el operador de diferencia ordinario, no el Laplaciano). Entonces,
donde es la capacidad calórica específica y es la densidad de masa del material. Definiendo que la energía es nula cuando la temperatura es el cero absoluto, se puede reescribir como:
El incremento en energía interna en una pequeña región espacial del material
sobre un lapso de tiempo
está dado por[n. 1]
donde se utilizó el teorema fundamental del cálculo. Si no hay trabajo realizado, y no hay fuentes de calor, el cambio en la energía interna en el intervalo queda completamente definido por el flujo de calor que atraviesa los contornos. Según la ley de Fourier, esto es
otra vez por el teorema fundamental del cálculo.[n. 2] Aplicando conservación de la energía,
Esto es verdadero para cualquier región rectangular . Por el lema fundamental del cálculo variacional, el integrando debe desvanecer a:
El cual puede reescribirse como:
o:
el cual es la ecuación del calor, donde el coeficiente (comúnmente denominado α)
se conoce como la difusividad térmica.
Se puede agregar un término más a la ecuación para tener en cuenta las pérdidas de calor por radiación, fenómeno que depende del exceso de temperatura en algún punto dado comparado con el entorno. Cuando el exceso de temperatura es relativamente pequeño, la pérdida por radiación es aproximadamente μu, donde resulta la ecuación de transferencia de calor unidimensional de la forma
Sin embargo, cuando hay exceso de temperatura significativo, según la ley de Stefan-Boltzmann la pérdida neta de calor radiado es proporcional a , y la ecuación anterior es errónea. Para grandes excesos de temperatura, , queda la ecuación de transferencia de calor para altas temperaturas de la forma:
donde . Aquí, es la constante de Stefan-Boltzmann, es la constante característica del material, es el perímetro de la sección de la barra y es su área de sección. Sin embargo, usando en vez de tenemos una mejor aproximación en este caso.
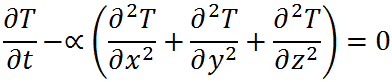
Caso tridimensional
En el caso especial de la difusión de calor en un medio isotrópico y homogéneo en un espacio de tres dimensiones, la ecuación es
donde:
- es la temperatura como una función del espacio y del tiempo;
- es la razón de cambio de temperatura en un punto respecto del tiempo;
- son derivadas segundas parciales (conducciones térmicas) de la temperatura respecto de , respectivamente;
- es la difusividad térmica, una cantidad específica del material que depende de la conductividad térmica , la densidad de masa , y la capacidad de calor específica .
La ecuación del calor es una consecuencia de la ley de Fourier de conducción (ver conducción del calor).
Si el medio no es todo el espacio, entonces para resolver la ecuación de calor se necesita solo que se especifiquen las condiciones de contorno para u. Para determinar la unicidad de las soluciones en todo el espacio se necesita suponer una cota exponencial sobre el crecimiento de las soluciones.[3]
Las soluciones de la ecuación del calor se caracterizan por una suavidad gradual de la distribución de temperatura inicial por el flujo de calor desde las áreas más cálidas hacia las más frías de un objeto. Generalmente, muchos estados diferentes y condiciones iniciales tienden al mismo equilibrio estable.
La ecuación del calor es un ejemplo prototipo de una ecuación diferencial en derivadas parciales del tipo parabólico
Usando el operador de Laplace, la ecuación se puede simplificar, y generalizar a ecuaciones similares en el espacio de un número arbitrario de dimensiones:
donde el operador de Laplace puede ser Δ o ∇2, la divergencia del gradiente, se toma en las variables espaciales.
La ecuación del calor gobierna la difusión de calor, es decir, es otro proceso de difusión, tal como la difusión de partículas o la propagación del potencial de acción en células neuronales. Sin embargo no son de naturaleza difusiva, algunos problemas de mecánica cuántica también están gobernadas por una ecuación análoga a la ecuación del calor (ver más adelante). También puede utilizarse para modelar algunos problemas en finanzas, como por ejemplo en los procesos de Black-Scholes o Ornstein-Uhlenbeck.
Véase también
- Ecuación general de transferencia de calor
Notas
Referencias
Bibliografía
Enlaces externos
- Wikimedia Commons alberga una categoría multimedia sobre Ecuación del calor.
- Deducción de la ecuación del calor
- Ecuaciones del calor lineales: Soluciones particulares y problemas de condición de borde - de EqWorld
- Neher-McGrath heat equations: What you need to know about your undergound electrical installation.

